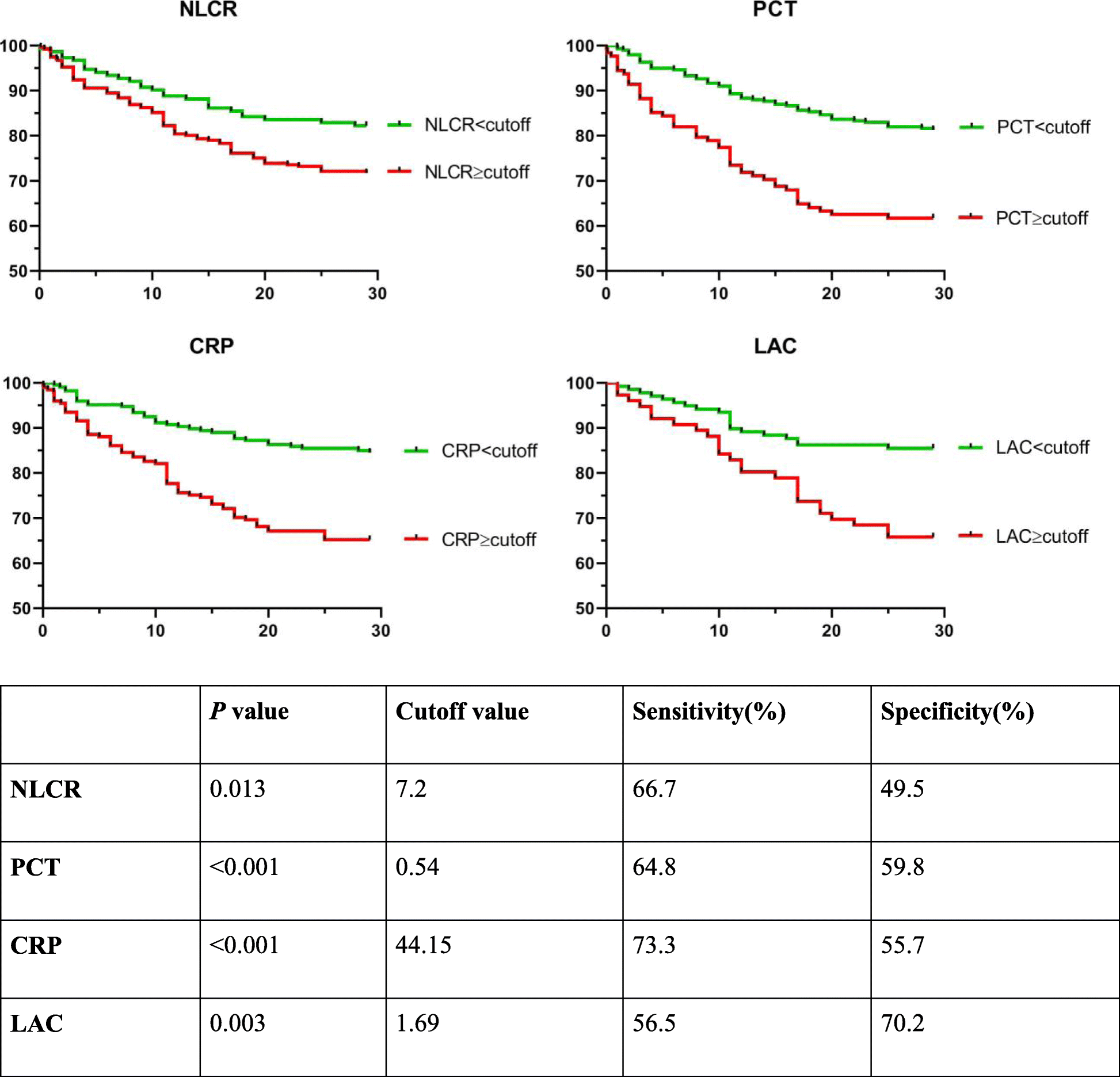
Fig. 4From: Prognostic value of neutrophil- lymphocyte count ratio (NLCR) among adult ICU patients in comparison to APACHE II score and conventional inflammatory markers: a multi center retrospective cohort studySurvival curves of biomarkers divided by respective cutoff values. The table below showed the P values, cutoff values, sensitivity and specificityBack to article page